
Новаторские исследования, проведённые сотрудниками Института химии растворов имени Г.А. Крестова РАН при поддержке Российского научного фонда (РНФ), позволили разработать эффективные подходы к управлению пространственной архитектурой молекул лекарственных соединений. Такой контроль осуществляется с помощью уникальных свойств сверхкритических флюидов — веществ, которые одновременно проявляют признаки жидкостей и газов. Особый фокус учёных был направлен на противоопухолевое средство бикалутамид, широко применяемое при лечении рака предстательной железы. В работе под руководством Константина Белова и Ильи Ходова удалось выяснить, как под воздействием сверхкритического углекислого газа можно влиять на соотношение различных молекулярных форм препарата, тем самым открывая путь к созданию более эффективных и стабильных лекарственных средств.
Преобразование пространственной структуры молекулы
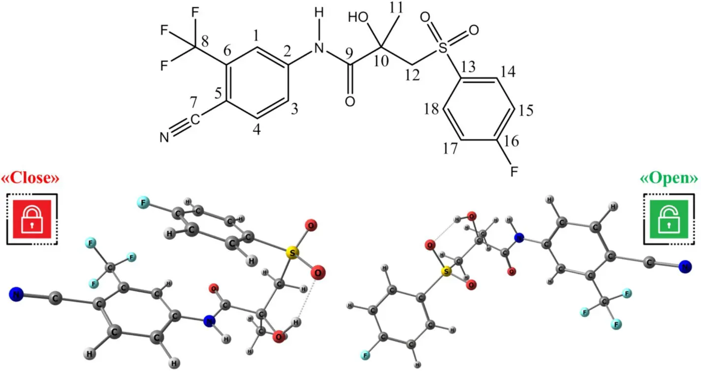
В химии известно, что молекулы веществ могут существовать в различных конформациях, то есть геометрических формах, изменяя свою пространственную структуру без изменения химического состава. Важно понимать, что такие перестройки напрямую затрагивают физико-химические характеристики соединений: изменяются растворимость, стабильность, биодоступность и фармакологическая эффективность. В случае бикалутамида, одного из ключевых препаратов для терапии онкологических заболеваний, учёные выделяют две основные группы конформеров: «открытые» линейные и «закрытые» полукольцевидно свернутые молекулы. Экспериментально установлено, что «открытые» формы обладают большей твёрдостью и устойчивостью при хранении, а «закрытые» обеспечивают лучшую растворимость лекарства в водных средах — критически важный параметр для усвоения организмом.
Революционные возможности сверхкритических сред
Сверхкритические флюиды давно привлекали внимание учёных благодаря своей универсальности: они способны растворять твёрдые материалы, проникать сквозь сложные структуры, а главное — их характеристики поддаются точной настройке за счёт регулировки температуры и давления. Сверхкритический углекислый газ особенно ценен в фармацевтических и химических технологиях, так как экологически безопасен, легко удаляется из конечного продукта и совместим с широким спектром органических веществ. До последнего времени детально не было исследовано, как такие среды воздействуют именно на сложные фармацевтические молекулы, востребованные в современной медицине, такие как бикалутамид — но теперь коллективу российский учёных удалось восполнить этот пробел.
Влияние условий на конформацию лекарства
В ходе экспериментов было установлено, что соотношение «открытых» и «закрытых» форм бикалутамида можно целенаправленно регулировать, изменяя параметры сверхкритического углекислого газа. Так, при снижении температуры и увеличении давления пропорция растворённых в газе «закрытых» молекул увеличивается, способствуя повышению растворимости препарата. Наоборот, оптимальные условия для получения максимально стабильных кристаллических форм создаются при иных сочетаниях температуры и давления, способствующих доминированию «открытых» конформеров. Благодаря этому открытию у фармацевтов появляется уникальная возможность управлять свойствами лекарственных средств уже на стадии их синтеза, выбирая баланс между стабильностью хранения препарата и скоростью его всасывания в организме.
Значение для современной фармацевтики и перспективы
Этот научный прорыв, достигнутый благодаря поддержке Российского научного фонда и усилиям специалистов Института химии растворов имени Г.А. Крестова РАН, открывает широкие горизонты для разработки новых и усовершенствованных лекарственных форм. Исследование создает предпосылки к повышению эффективности уже существующих препаратов за счёт тонкой настройки их структуры и свойств без необходимости создания новых молекул, что существенно ускоряет внедрение инноваций в медицинскую практику. Новая методика может быть применена и к другим лекарственным средствам, а также перспективным материалам, где пространственная организация молекул играет критически важную роль. Команда учёных уверена, что дальнейшее развитие исследований будет способствовать улучшению качества медицинской помощи и расширению арсенала высокоэффективных средств для борьбы с онкологическими и другими сложными заболеваниями.
Недавно коллектив исследователей Института химии растворов имени Г.А. Крестова РАН (г. Иваново) провёл комплексное изучение поведения бикалутамида в необычных условиях — в среде сверхкритического углекислого газа. Учёные сосредоточились на динамике молекул лекарственного вещества при изменении температуры и давления, что открывает новые горизонты для фармацевтических разработок и усовершенствования медицинских препаратов.
Экспериментальная методика: шаг навстречу инновациям
Для проведения исследования специалисты применили уникальную установку, позволяющую создавать сверхкритические состояния углекислого газа. Обычный CO₂ поступал в пресс, где его сжимали до высокой плотности, трансформируя в жидкую фазу. Затем эта жидкость перемещалась в герметичную камеру из монокристалла сапфира, куда заранее помещался бикалутамид.
Когда камера с подготовленной смесью нагревалась свыше 31,1°C, углекислый газ переходил в фазу сверхкритического флюида. Изучение системы проводилось при различных параметрах: при 45°C и 90 атмосферах, а также при 55°C и 125 атмосферах. Через сутки после начала опыта учёные анализировали присутствие разных молекулярных форм — конформеров — бикалутамида.
Как меняется структура препарата?
В результате экспериментов выяснилось, что при температуре 45°C и давлении 90 атмосфер почти 81% молекул сохраняет «закрытую» структуру, в то время как «открытая» занимает примерно 19%. Однако при увеличении температуры до 55°C и повышении давления до 125 атмосфер доля «открытой» формы существенно возрастала, достигнув 37,3%. Это открытие связано с тем, что сверхкритический углекислый газ в жёстких условиях оказывает влияние на молекулярные связи, подавляя межмолекулярное и внутримолекулярное сцепление, характерное для «закрытой» конфигурации.
Такая трансформация не случайна — именно контролируемое изменение среды позволяет исследовать и в будущем использовать подобные процессы для точной настройки свойств фармацевтических веществ. Молекулы в сверхкритических средах проявляют новую динамику, что позволяет открывать ранее недоступные возможности для их применения.
Мировой опыт в лаборатории Иваново
Исследование, реализованное при поддержке гранта Российского научного фонда, подтверждает огромный потенциал сверхкритического углекислого газа не только в роли растворителя, но и как инструмента управления архитектурой молекул препаратов. По словам кандидата химических наук Константина Белова, научного сотрудника Лаборатории ЯМР-спектроскопии растворов и флюидов, учёным удалось наглядно продемонстрировать, что можно эффективно регулировать формы молекул благодаря изменению физических характеристик среды.
Понимание того, каким образом биологически активные молекулы реагируют на разные температуры и давление в сверхкритических флюидах, в перспективе даст возможность создавать стабильные лекарственные формы с прогнозируемыми свойствами. Это открывает путь к улучшению технологий синтеза и снижению количества побочных реакций. Более того, такой подход способствует экологичности производства, ведь сверхкритический углекислый газ считается безопасным и чистым растворителем.
Будущее лекарств: эффективность и надёжность
Полученные результаты вдохновляют на дальнейшие поиски и эксперименты. Возможность управлять формой и свойствами молекул означает, что разработка новых медикаментов может стать проще, быстрее и безопаснее. Оптимизация условий синтеза позволит создавать препараты с более высокой чистотой и сниженным количеством ненужных примесей. Авторы исследования уверены, что подобные открытия послужат началом новой эры в фармацевтике — когда каждый пациент будет получать максимально эффективные, качественные и безопасные лекарства.
Вклад российских учёных в изучение свойств лекарственных средств в сверхкритических средах уже сегодня находит признание в мировом научном сообществе. Каждый такой шаг приближает нас к будущему, где медицина станет ещё эффективнее, а здоровье — крепче и доступнее для каждого человека.
Команда ученых из Института химии растворов им. Г.А. Крестова РАН под руководством доктора физико-математических наук Ильи Ходова продолжает исследования, направленные на совершенствование методов создания современных лекарственных препаратов. Основное внимание уделяется анализу того, как изменяется структура молекул в зависимости от различных параметров среды. Такой подход открывает новые возможности для глубокой и тщательной оценки закономерностей формирования химических соединений.
Перспективы новых методик
Погружаясь в изучение состава и свойств молекул на более широком спектре соединений, ученые планируют выяснить, как условия среды могут влиять на структурную организацию лекарственных веществ. Эти знания позволят разрабатывать еще более точные методы получения соединений, обладающих именно теми физико-химическими и фармацевтическими характеристиками, которые необходимы для эффективного лечения различных заболеваний.
Ведущий специалист проекта Илья Ходов отметил, что изучение молекул в комплексном взаимодействии с окружающей средой открывает путь к созданию универсальных алгоритмов синтеза лекарственных средств. Такие алгоритмы будут учитывать множество разнообразных факторов, влияющих на формирование структуры соединения, благодаря чему можно будет прогнозировать и управлять итоговыми свойствами лекарств.
Будущее фармацевтики и науки
Предстоящие работы имеют все шансы вывести науку на новый уровень и поспособствовать появлению инновационных технологий в сфере производства лекарств. Успехи в определении зависимостей между средой и структурой молекул лягут в основу разработки препаратов нового поколения с повышенной безопасностью и эффективностью. Это придаст значительный импульс развитию персонализированной медицины и созданию индивидуальных подходов к лечению.
Работа коллектива ученых вдохновляет и внушает оптимизм: уже в недалеком будущем благодаря их открытиям фармацевтические компании и исследовательские центры смогут предлагать пациентам средства, создаваемые с учетом всех тонкостей работы организма. Позитивные прогнозы подкрепляются динамикой текущих исследований, а широкий охват изучаемых молекул обеспечивает прочную фундаментальную основу для практического применения научных достижений.
Таким образом, проект обещает принести весомый вклад в развитие биохимии, медицины и фармацевтической промышленности, делая шаг навстречу будущему, в котором сложнейшие заболевания будут успешно преодолеваться благодаря передовым научным методам и инновационным препаратам.
Источник: indicator.ru






